
近日,粉丝问到:请问AlN陶瓷基板体积密度计算公式是什么?
答:体积密度定义公式,阿基米德排水法浮力公式,两者联立可推导得出:
陶瓷材料的表观密度和体积密度的国标是GB/T 25995-2010,由于表观密度和体积密度的定义较为相似,不仔细研究容易造成困扰,且国标并未给出计算公式的推导过程。本文结合高中物理力学原理,对国标GB/T 25995-2010《精细陶瓷密度和显气孔率试验方法》的精细陶瓷表观密度和体积密度的计算公式,进行了较为详细的推导,欢迎讨论。文末有陶瓷基板Tool计算小工具福利,欢迎试用。
一、表观密度与体积密度指标的差异
1.定义的差异
根据GB/T 25995-2010《精细陶瓷密度和显气孔率试验方法》,表观密度(Apparent Density)的定义为干燥材料质量与其表观体积之比,表观体积的定义为固体材料+闭气孔体积之和,由此可知,表观体积排除了开气孔的体积,仅考虑固体材料体积与闭气孔。
而体积密度(Bulk Density)的定义为干燥材料质量与其块体体积之比,块体体积的定义为固体材料、开气孔、闭气孔体积之和,由此可知,块体体积是包含了所有气孔在内的总体积。
图1 现实中的陶瓷试样由固体材料、开气孔和闭气孔三部分组成
2.对陶瓷材料性能指导意义的差异
表观密度在于反映陶瓷材料内部闭孔结构的致密程度。闭气孔的存在会显著影响材料的介电常数和热稳定性。例如在高频通信基板中,闭气孔率过高会导致电磁波传输损耗增加,而表观密度的测定可量化闭气孔的占比,为烧结工艺优化提供数据支撑。
而体积密度则主要在于评估陶瓷材料整体致密性。开气孔的存在直接影响陶瓷材料的吸水率与抗腐蚀性能,例如开气孔率较高的氧化铝基板若体积密度<3.6 g/cm³,易在潮湿环境中发生离子迁移导致电绝缘失效。
二、表观密度的公式推导
由表观体积的定义可知,表观体积排除了开气孔的体积,仅考虑固体材料和闭口气孔的体积,因此,V表观=固体材料的体积+闭气孔的体积。
图2 陶瓷材料表观部分由固体材料+闭气孔两部分组成
第一步:阿基米德排水法计算表观体积V表观
假设将一块干燥的陶瓷试样浸入液体(通常为去离子水),如图3所示。
图3 浸没在液体中的陶瓷材料表观部分(蓝色线框包围部分)受力分析
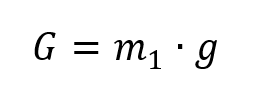
此时陶瓷材料表观部分受到三个作用力:陶瓷材料表观部分的重力G,液体对陶瓷材料表观部分的浮力F,悬挂系统对陶瓷材料的拉力T。
当陶瓷材料表观部分系统达到静力平衡时,有:
首先,闭气孔的重力较小,可以忽略不计,因此陶瓷材料表观部分的重力G≈陶瓷材料的干重m₁g,即:
其次,根据阿基米德原理:浸入静止流体(气体或液体)中的物体受到一个浮力,浮力大小等于该物体所排开的流体重量,方向垂直向上。因此,陶瓷材料表观部分(蓝色线框包围部分:固体材料+闭气孔,不考虑开气孔)受到的浮力F为:
再次,根据高中物理知识牛顿第三定律可知,悬挂系统对陶瓷材料表观部分的拉力T等于陶瓷材料表观部分浮重(即天平/拉力计的力学读数m₂g)
最后,将后3个式子,代入到第1个受力平衡的式子,得到
整理得到:
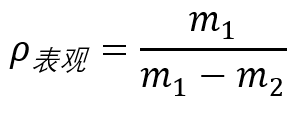
第二步:计算表观密度ρ表观
将上述V表观的式子,代入到表观密度的定义式:
即可得到表观密度计算公式:
当浸入液体选择去离子水,在25℃环境下时,其密度为1.000g/cm³,表观密度公式可进一步简化为:
式中,m₁为干燥试样的质量(干重);m₂为浮重。
三、体积密度公式的推导
同样地,由块体体积的定义可知,块体体积是包含了所有气孔在内的总体积,因此,V块体=固体材料的体积+开气孔的体积+闭气孔的体积。
图4 陶瓷材料块体部分由固体材料+闭气孔+开气孔三部分组成(绿色线框包围部分)
第一步:阿基米德排水法计算表观体积V块体假设将一块干燥的陶瓷试样浸入液体(通常为去离子水),如图5所示。
图5 浸没在液体中的陶瓷材料块体部分(绿色线框包围部分)受力分析
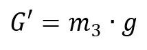
此时陶瓷材料块体部分受到三个作用力:陶瓷材料块体部分的重力G',液体对陶瓷材料块体的浮力F',悬挂系统对陶瓷材料的拉力T。
当陶瓷材料块体部分系统受力平衡时,有:
首先,如图6所示,对于浸入液体的陶瓷材料块体部分(绿色线框包围部分),有两部分组成:陶瓷固体材料、填充了液体的开气孔部分。因此块体部分的重力G'≈陶瓷材料的干重m₁g+被液体填充满开气孔的液体重量,也就是陶瓷材料的湿重m₃⋅g。
图6 陶瓷材料的湿重m₃=干重m₁+填充进开气孔的液体重量
因此,有:
同样地,根据阿基米德原理,陶瓷材料块体部分(绿色线框包围部分:固体材料+闭气孔+开气孔)受到的浮力为F'如下:
同样地,根据牛顿第三定律,悬挂系统对陶瓷材料块体部分的拉力T等于陶瓷材料的浮重(即天平/拉力计的力学读数m₂g)
将后3个式子,代入到第1个受力平衡的式子,得到
整理得到:
第二步:计算体积密度ρ块体将上述V块体的式子,代入体积密度的定义式:
即可得到体积密度计算公式:
当浸入液体选择去离子水,在25℃环境下时,其密度为1.000g/cm³,体积密度公式可进一步简化为:
式中,m₁为干燥试样的质量(干重);m₂为浮重;m₃湿试样质量(湿重)。
五、写在最后
表观密度和体积密度公式的推导,完美诠释了“质量守恒”与“体积置换”的辩证关系。表观密度与体积密度如同材料的"双面镜":前者聚焦闭孔对功能特性的影响,后者统观全孔隙对结构完整性的作用。